La Vía Láctea se está convirtiendo en un “cementerio de estrellas”, afirman los científicos
Un nuevo estudio científico explica que el número de agujeros negros de masa estelar en nuestra galaxia es mucho mayor del que se creía. Tenemos un "triturador de estrellas" en la Vía Láctea.

Existe un agujero negro supermasivo en el centro de la Vía Láctea. Se sabe que en nuestra galaxia conviven: estrellas jóvenes, gas, polvo y agujeros negros de masa estelar. Es un lugar lleno de actividad. Además, está rodeado por un velo de gas y polvo interestelar, lo que significa que no podemos observar la región en luz visible. Podemos observar estrellas en la región a través del infrarrojo y las ondas de radio, pero los agujeros negros de masa estelar siguen siendo en gran parte un misterio.
Los modelos tradicionales de formación estelar sugieren que podría haber tan solo 300 en la región más cercana al agujero negro supermasivo: Sagitario A*. Otros modelos sugieren que la propia formación de Sagitario A* podría haber desencadenado la formación de cientos de agujeros negros de masa estelar.

Un nuevo estudio en Astronomy & Astrophysics sugiere que el número de agujeros negros de masa estelar es mucho mayor del que se creía. Diversas consideraciones teóricas y observaciones previas sugieren la presencia de una población de agujeros negros de masa estelar en el pársec más interno del centro galáctico.
Pársec es una unidad de medida de distancia equivalente a unos 3.26 años luz, o 3.086 × 1016 metros. Se define un pársec como la distancia desde la que habría que observar el Sistema Solar para que el radio de la órbita terrestre (igual a una unidad astronómica de distancia) subtendiera un ángulo de un segundo de arco.
Los científicos investigan el impacto de estos agujeros negros en la composición de la población estelar enclavada mediante sus colisiones directas con las estrellas individuales.

Con base en las tasas de colisión estimadas, derivaron un perfil de densidad radial de un orden de magnitud del cúmulo de agujeros negros. Las estimaciones se obtuvieron analíticamente, considerando diversos posibles canales de formación para los agujeros negros y las propiedades actuales observadas de las poblaciones estelares en el centro galáctico.
Observaron que las colisiones de las estrellas y los agujeros negros pueden provocar la disminución de las estrellas más masivas dentro del cúmulo S en una escala de tiempo de unos pocos millones de años. La densidad necesaria del cúmulo de agujeros negros es compatible con la formación estelar recurrente in situ en el pársec más interno del centro galáctico.
Estos investigadores sugieren que dicha disminución explica naturalmente la ausencia reportada de estrellas de tipo estelar O y de las estrellas de hipervelocidad del halo galáctico equivalentes dentro del cúmulo S.

La idea tras este nuevo modelo utilizado por los investigadores en este trabajo es que, en comparación con el resto de la galaxia, la región central cercana a Sgr A* presenta una alta densidad de gas y polvo. Esto significa que grandes estrellas de tipo O y tipo B pueden formarse fácilmente. Estas estrellas tienen vidas muy cortas, por lo que morirían como supernovas. Sus núcleos colapsarían formando agujeros negros, y el resto de su material se desprendería y quedaría disponible para formar nuevas estrellas.
El "triturados de estrellas"
Con el tiempo, dichos los agujeros negros en la región se acumularían a medida que nacieran y desaparecieran nuevos ciclos de estrellas. Finalmente, la región se poblaría de suficientes agujeros negros como para que las colisiones entre estrellas y agujeros negros fueran comunes. Los agujeros negros desgarrarían a las estrellas gradualmente, revolviendo la región para acelerar la formación de estrellas y agujeros negros. Los autores denominan a este modelo el “triturador de estrellas”.
“No sabemos exactamente cuántos agujeros negros hay allí dentro, pero el centro de la Vía Láctea se está convirtiendo en un cementerio de estrellas”, expresan los los investigadores.
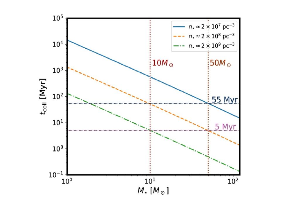
Tiempo de colisión
Si este modelo es correcto, entonces el centro de nuestra galaxia podría tener millones o miles de millones de agujeros negros de masa estelar por parsec cúbico. Cualquier estrella que entre en esa región lo haría a su propio riesgo. Es una idea fascinante, pero ¿cómo podríamos demostrarlo? Para esto, los autores recurren a un concepto estadístico conocido como tiempo de colisión.
Para una densidad dada de agujeros negros en la región, hay un tiempo promedio antes de que una estrella y un agujero negro colisionen. Este tiempo de colisión depende del número de agujeros negros en la región y del tamaño de la estrella. Obviamente, cuanto mayor sea el número de agujeros negros, menor será el tiempo de colisión, pero también cuanto más grande sea la estrella, más probable es que haya una colisión.

El equipo calculó los tiempos de colisión para varias distribuciones y luego comparó sus resultados con lo que observamos. Dado que las estrellas más grandes en el centro de la galaxia son las más fáciles de detectar, tenemos una buena idea de cuántas hay.
Según las observaciones, hay menos estrellas de tipo O de gran tamaño en la región en comparación con otras partes de la Vía Láctea. Esto sugiere que las estrellas de tipo O experimentan el desgaste de agujeros negros. Existen muchas estrellas de tipo B más pequeñas en la región, lo que sugiere que no se encuentran con agujeros negros con frecuencia. Basándose en sus estadísticas, los autores argumentan que hay alrededor de 100 millones de agujeros negros por pársec cúbico en la región alrededor de Sgr A*.

Los autores también señalan que este modelo explicaría la presencia de estrellas hiperveloces en el halo de nuestra galaxia. Conocemos alrededor de una docena de estrellas con velocidades tan altas que escaparían de nuestra galaxia.
Una forma en que una estrella alcanza dicha velocidad es tener un encuentro cercano con un agujero negro. La cantidad de estrellas hiperveloces que observamos podría deberse a encuentros cercanos en el centro de la Vía Láctea.Referencias de la noticia:
Por Brian Koberlein. "The Star Grinder: A Cloud of Black Holes at the Center of the Milky Way". Universe Today. 23 de marzo del 2025.
Haas, J., et al. "El desgaste de estrellas en el centro galáctico: descubrimiento del cúmulo central de agujeros negros de masa estelar altamente compacto". Astronomía y Astrofísica 695 (2025): L19.
No te pierdas la última hora de Meteored y disfruta de todos nuestros contenidos en Google Discover totalmente GRATIS
+ Seguir a Meteored